Soalan Percubaan Spm Sbp Add Math

Soalan percubaan spm sains 2018, soalan percubaan spm pendidikan islam, soalan percubaan spm pendidikan islam 2019, soalan percubaan spm pendidikan moral 2018, soalan percubaan spm pendidikan moral 2019, soalan percubaan spm, soalan percubaan spm 2014, soalan percubaan spm 2019, soalan percubaan spm geografi, soalan percubaan spm 2018 sbp, soalan percubaan spm 2018 kimia, soalan percubaan spm sains 2018, soalan percubaan spm sains 2019, soalan percubaan spm 2019 sejarah, soalan percubaan spm 2019 matematik, soalan percubaan spm matematik 2018, soalan percubaan spm, soalan percubaan kimia, soalan percubaan pt3 2018, soalan percubaan pt3 2019, soalan percubaan spm 2014, soalan percubaan spm 2018, soalan percubaan spm 2019, soalan percubaan upkk 2019, soalan percubaan upsr 2017,


Jawapan Soalan Spm Add Math 2019 - Kecemasan T via kecemasant.blogspot.com
Jawapan Soalan Spm Add Math 2019 - Kecemasan t

Jom Dapatkan Latihan Matematik Tahun 4 Yang Penting Khas via menulismenconteng.my
Jom Dapatkan Latihan Matematik Tahun 4 Yang Penting Khas

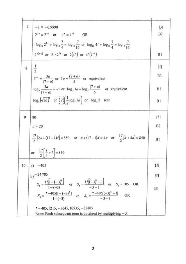
Mrsm Trial-spm-2013-paper-1-marking-scheme via www.slideshare.net
Mrsm trial-spm-2013-paper-1-marking-scheme

Kertas Soalan Matematik Tambahan Spm 2017 - N Soalan via nsoalan.blogspot.com
Kertas Soalan Matematik Tambahan Spm 2017 - N Soalan

Koleksi Kertas Percubaan Sbp Spm Biology-bilingual via mehrajbooks.com.my
Koleksi Kertas Percubaan SBP SPM Biology-Bilingual

Koleksi Soalan Percubaan Spm 2017 & Jawapan (semua Negeri) via panduanmalaysia.blogspot.com
Koleksi Soalan Percubaan SPM 2017 & Jawapan (Semua Negeri)

Describing Objects Geometric Objects Geometric Shapes via www.scribd.com
Describing Objects  Geometric Objects  Geometric Shapes

Mudahnya Add Maths Spm #2: Persamaan Kuadratik - Cmn via cmnacademy.com
Mudahnya Add Maths SPM #2: Persamaan Kuadratik - CMN

Surat Rasmi -memohon Kebenaran Menggunakan Peralatan Sukan via www.scribd.com
Surat Rasmi -Memohon Kebenaran Menggunakan Peralatan Sukan

Cikgu Azman - Bukit Jalil: November 2018 via cikguazmanbukitjalil.blogspot.com
Cikgu Azman - Bukit Jalil: November 2018


Random Image


https://prasekolahsktamanteknologi.blogspot.com


Related Posts To Soalan Percubaan Spm Sbp Add Math


Soalan Percubaan Spm Sbp Add Math Rating: 4.5 Posted by: brendmanx

Search Here

Popular Posts

Total Pageviews

Recent Posts

Partners